13422103660
sales@tansh-tech.com
购物车
登录
首页
产品中心
核酸递送辅料
PEG衍生物>>
按官能团分
按结构分
脂质体和脂质体用辅料>>
聚乙二醇化脂质
基础合成脂质
脂质体纳米粒子
水凝胶>>
光固化/复合型水凝胶
温敏水凝胶
其它辅材
聚合物和共聚物>>
可降解聚合物
聚氨基酸
其他聚合物
聚合物纳米粒子
多肽>>
Peptides
聚合物修饰多肽
糖化学>>
葡萄糖Glucose
半乳糖Galactose
甘露糖Mannose
肝素Heparin
N-乙酰半乳糖胺(GaINAc)
其它糖类
PROTAC / ADC Linker>>
PROTAC Linker
ADC Linker
荧光染料>>
Cyanine Dyes
Fluorescein
Rhodamine
点击化学
定制服务
药物递送载体构建服务>>
常规纳米递送系统
刺激响应型智能载体
主动靶向功能化修饰
长效控释水凝胶递送系统
mRNA-LNP定制封装递送平台
载体全面分析与表征>>
粒径与表面电荷分析
微观形貌与结构分析
体外释药行为评价
物理稳定性考察
元素组成与含量分析
表面功能化修饰定量
细胞水平验证服务>>
结合能力评估
亚细胞定位与共定位分析
细胞内化定量
体外药效学评价
生物安全评价
分子机制初探
免疫效应评估
动物水平验证服务>>
体内靶向分布检测
体内安全性评价
体内药效学检测
药代动力学评价
修饰耦联合成服务>>
纳米颗粒的制备合成服务
修饰与偶联服务
多肽的定制合成服务
单分散PEG定制合成服务
采购索引
全网促销
常见问题汇总
最受欢迎产品
最受欢迎服务
产品手册
资料手册
新闻/活动
碳水平台
关于我们
联系我们
技术联盟
合作转化
MENU
MENU
首页
产品中心
定制服务
采购索引
新闻/活动
关于Tanshtech
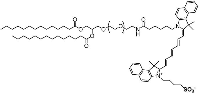
DMG PEG Fluorescent
中文名称:1,2-二肉豆蔻酰-rac-甘油-3-聚乙二醇-吲哚菁绿
英文名称:DMG-PEG-ICG
CAS NO:N/A
目录号
产品名称
规格
价格
化学性质
MSDS
COA
产品搜索
产品中心
核酸递送辅料
PEG衍生物
按官能团分
按结构分
脂质体和脂质体用辅料
聚乙二醇化脂质
基础合成脂质
脂质体纳米粒子
水凝胶
光固化/复合型水凝胶
温敏水凝胶
其它辅材
聚合物和共聚物
可降解聚合物
聚氨基酸
其他聚合物
聚合物纳米粒子
多肽
Peptides
聚合物修饰多肽
糖化学
葡萄糖Glucose
半乳糖Galactose
甘露糖Mannose
肝素Heparin
N-乙酰半乳糖胺(GaINAc)
其它糖类
PROTAC / ADC Linker
PROTAC Linker
ADC Linker
荧光染料
Cyanine Dyes
Fluorescein
Rhodamine
点击化学
定制服务
药物递送载体构建服务
常规纳米递送系统
刺激响应型智能载体
主动靶向功能化修饰
长效控释水凝胶递送系统
mRNA-LNP定制封装递送平台
载体全面分析与表征
粒径与表面电荷分析
微观形貌与结构分析
体外释药行为评价
物理稳定性考察
元素组成与含量分析
表面功能化修饰定量
细胞水平验证服务
结合能力评估
亚细胞定位与共定位分析
细胞内化定量
体外药效学评价
生物安全评价
分子机制初探
免疫效应评估
动物水平验证服务
体内靶向分布检测
体内安全性评价
体内药效学检测
药代动力学评价
修饰耦联合成服务
纳米颗粒的制备合成服务
修饰与偶联服务
多肽的定制合成服务
单分散PEG定制合成服务
sales@tansh-tech.com
2147013750
13422103660