13422103660 sales@tansh-tech.com
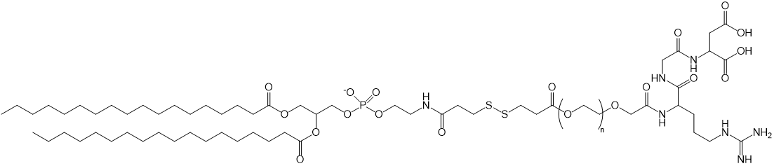
DSPE PEG Peptides

中文名称:磷脂-二硫键-聚乙二醇-整合素靶向肽(肿瘤新生血管靶向肽)

英文名称:DSPE-SS-PEG-RGD

CAS NO:N/A
目录号 产品名称 规格 价格
  • 化学性质
  • MSDS
  • COA