13422103660 sales@tansh-tech.com
DMG PEG Functionalized

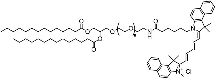
中文名称:1,2-二肉豆蔻酰-rac-甘油-3-聚乙二醇-CY5.5

英文名称:DMG-PEG-CY5.5

CAS NO:N/A
目录号 产品名称 规格 价格
  • 化学性质
  • MSDS
  • COA